Клик — и готово. За что дали Нобелевскую премию по химии в 2022 году

«Рассказывают, что когда Шарплесс сформулировал идею клик-реакции, то в Институте Скриппса многие его не поняли и крутили у виска, — говорит в беседе с N + 1 Дмитрий Перекалин, заведующий лабораторией функциональных элементоорганических соединений в Институте элементоорганических соединений РАН, — и так много хороших реакций, чего ему еще надо?» Трое сегодняшних Нобелевских лауреатов по-разному отвечали для себя на этот вопрос. Барри Шарплесс стремился к тому, чтобы органикам было проще и удобнее работать, Каролин Бертоцци искала способ управлять клеточными мембранами, а Мортен Мельдаль и вовсе ничего такого не хотел, просто наткнулся на них случайно. Рассказываем, зачем сегодня химики «кликают» — и что для этого нужно.
Накликали
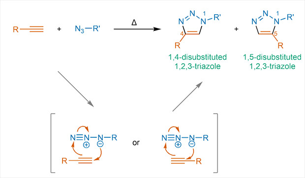
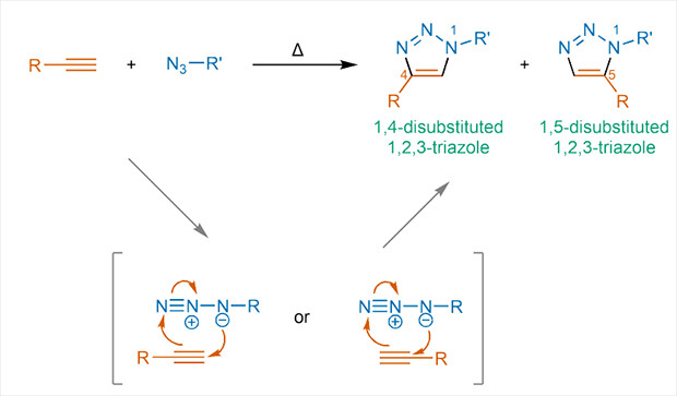
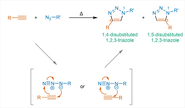
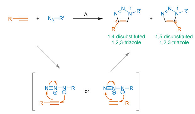
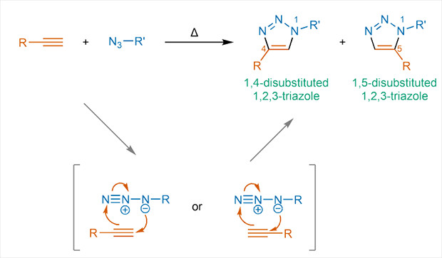
В 1893 году американский химик Артур Михаэль провел реакцию азид-алкинового циклоприсоединения. Это реакция между молекулами с азидной группой (из трех связанных друг с другом атомов азота) и алкинами (веществами с тройной связью углерод-углерод). В результате присоединения одной молекулы к другой получается триазол — циклический гетероцикл с тремя атомами азота из азида и двумя атомами углерода.

В то время никто бы не подумал, что за эту реакцию однажды кого-нибудь кто-нибудь чем-то наградит: Михаэль удостоверился, что идет она плохо, ничем интересным не отличается, да и пользы от нее никакой. После Михаэля эту же реакцию подробнее исследовал Рольф Хьюсген в середине XX века. И тоже заключил, что ничего интересного здесь не происходит: ну, нагрели, получили на выходе смесь изомеров.
С неожиданным в этой заурядной реакции столкнулся датский химик Мортен Мельдаль лишь полвека спустя, в 2001 году. Ученый занимался твердофазным синтезом пептидов, и ни о каком циклоприсоединении не думал. Но в какой-то момент во время экспериментов с пептидами азид-алкиновое циклоприсоединение внезапно пошло само. Мельдаль не растерялся, выделил продукт и стал разбираться, что произошло. Оказалось, что виноват был иодид меди: реакция циклоприсоединения в его присутствии проходит всего за несколько минут и выдает очень много триазола. Причем совершенно вне зависимости от того, какими функциональными группами напичканы участвующие в реакции пептидные цепи.
Свое открытие Мельдаль представил на конференции в Сан-Диего в 2001 году, а через год опубликовал о нем статью. Спустя всего три месяца после датчанина другую работу, в которой описывалась подобная каталитическая реакция, опубликовал американец Барри Шарплесс — к тому моменту уже получивший свою первую Нобелевскую премию за асимметрические реакции окисления.

Кроме реакции азид-алкинового циклоприсоединения, Шарплесс нашел еще несколько реакций, которые шли так же легко и быстро, с высоким выходом и без образования побочных продуктов. Среди них оказались например, давно известные реакция Дильса-Альдера и присоединение к трехчленным насыщенным гетероциклам. Первая представляет собой присоединение алкена к диену с образованием шестичленного углеродного цикла с одной двойной связью. А во второй происходит атака электронной пары одного из исходников на трехчленный цикл другого, который раскрывается с образованием спирта или амина.
